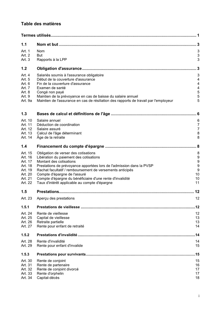
Ce qui est important noir sur blanc
Le règlement de base définit la relation entre vous-mêmes, en tant membre de la PVSP, et nous-mêmes, en tant que fondation. Il stipule les bases importantes de notre partenariat et s’assure que les deux parties parlent de la même chose.
Pour vous, en tant qu’assurés de la PVSP, le règlement de base est le document principal. Il définit, qui est astreint à l’assurance et qui peut être affilié à la PVSP, quelles prestations sont assurées et sous quelles dispositions qui en a le droit. De plus, le financement des cotisations est réglé, c’est-à-dire à quel taux de pourcentage s’élèvent les cotisations employé/employeur. De plus, le règlement de base définit la coordination des prestations des assurances sociales diverses lorsqu’un cas d’assurance intervient. Sous la rubrique « Prestations » , ce document décrit les cas possibles.
